기상청 제공

2025년 12월 27일 (토)

“‘고관절 골절’에 속단, 당귀 등 한약 처방···현대한의학적 치료 대안”

“‘고관절 골절’에 속단, 당귀 등 한약 처방···현대한의학적 치료 대안”

‘고관절 골절 한약 치료법 논문’서 사망률·재입원율·재수술률 통계적 유의미한 감소 확인
황만기 원장 “한의약적 치료법의 임상적 가치, 현대과학적으로 명백히 입증”

엔니오.png


영화 ‘시네마천국’, ‘황야의 무법자’ 등의 OST로 유명한 세계적인 영화음악계 거장 ‘엔니오 모리꼬네(Ennio Morricone)’의 사망 원인은 ‘고관절 골절(Hip Fracture)’이었다. 지난 2020년 낙상사고로 인한 고관절 골절상으로 병원에서 치료를 받던 중 향년 91세로 타계했다.


황만기 원장(황만기키본한의원)에 따르면 어르신들의 경우 하체 근력과 균형 감각 저하와 골다공증·골감소증이 수반돼 고관절 골절 위험도가 매우 높으며, 제2형 당뇨병 환자의 경우 고혈당이 지속되면서 독성 물질이 뼈의 단백질에 축적돼 골밀도 저하를 악화시키고, 소변의 칼슘 배출량을 증가시켜 정상인들에 비해서 고관절 골절 위험률이 약 2배나 높았다. 

 

황 원장은 "고관절 골절을 대수롭지 않게 생각해 이를 방치할 경우 욕창·폐렴·심장질환 악화·정맥혈전색전증 등 치명적인 합병증이 발생할 수 있다"며 "고관절 골절 발생 시 방치할 경우 1년 이내 사망률이 25%, 2년 이내 사망률은 무려 70%였으며, 적절한 수술 및 후유증·합병증 치료를 적극적으로 받더라도 1년 이내 사망률은 14.7%, 2년 이내 사망률은 24.3%에 달한다"고 강조했다.

 

 황 원장은 이어 “고관절 골절은 대퇴골(허벅지 뼈)의 골두(위쪽 끝)나 경부(목) 부분에서 발생되는 골절로, 주로 실내외 낙상 사고(미끄러짐)가 원인”이라며 “특히 골다공증이 심한 어르신들의 경우 이전 상태로의 ‘완전회복’은 매우 더디고 어렵다. 이는 비단 우리나라 뿐만 아니라 전 세계적으로 중요한 공중 사회보건 문제"라고 지적했다.

 

황 원장은 고관절 골절이 △의료비 증가 △가족에 대한 환자들의 의존성 대폭 증가 △사망률 증가와 높은 관련성이 있으며, 고관절 골절 회복에 유의미한 현대과학적 논문 근거를 명백하게 갖춘 한약 처방이 존재한다고 밝혔다.

 

논문1.png

 

8-Figure2-1 (1) 복사.png
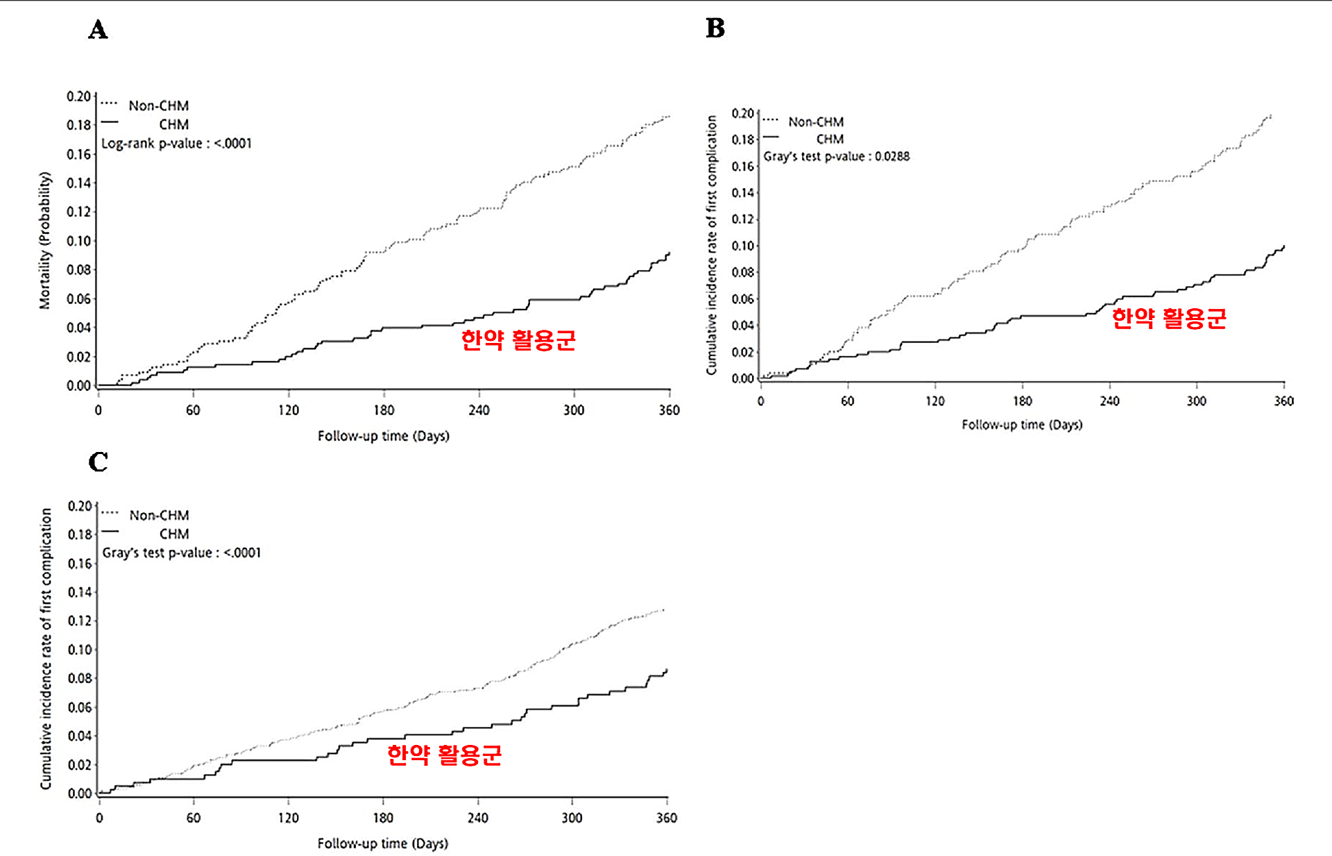
▲고관절 골절 환자에서 한약재와 비 한약재 활용자의 누적 발생률 비교 (A)전체 사망률의 누적 발생률 (B)재입원 누적 발생률 (C)재수술 누적 발생률

 

지난 2019년 6월 저명한 국제학술지 ‘Frontiers in pharmacology(프론티어스 약리학)’에 게재된 ‘고관절 골절 환자들의 전체 사망률·재입원율·재수술률 위험도를 낮추는 한약 치료법의 임상적 효과 분석(Effects of Chinese Herbal Medicines on the Risk of Overall Mortality, Readmission, and Reoperation in Hip Fracture Patients)’에서 연구팀은 적절한 한의약 치료법을 고관절 골절 회복과 특히 응급 수술 이후 치료에 적극적으로 활용하는 것은 △전체 사망률 감소 △재입원율 감소 △재수술률 감소와 통계적으로 뚜렷하고, 유의미한 상관성이 있다는 결과를 도출했다.


또한 고관절 골절 환자들에게 가장 많이 활용된 한약 처방 패턴은 ‘두충(杜沖)’, ‘골쇄보(骨碎補)’, ‘속단(續斷)’ 등이 포함된 ‘독활기생탕(獨活寄生湯)’이나 ‘소경활혈탕(疎經活血湯)’으로, 그 중 속단이 고관절 골절 회복과 치료에 있어 가장 핵심적인 한약으로 제시됐다.


황 원장은 또 ‘2배 빠른 골절 회복’을 현대과학적으로 입증한 특허한약 ‘접골탕(接骨湯)’의 핵심적인 한약 성분 중 하나인 ‘당귀(當歸)’의 경우 뼈세포 증식 효능이 최근 생화학적 연구를 통해 과학적으로 입증된 바 있어 고관절 골절 환자의 수술 후 신속하고, 완전한 회복을 위해한의약 임상 현장에서 보다 적극적으로 활용할 것을 추천했다.


황 원장은 “원활한 보행에 큰 영향을 미치는 고관절 골절로 인해 고통과 불편함을 호소하는 환자가 최근 급격히 증가하고 있으며, 우리나라가 초고령사회로 진입함에 따라 고관절 골절 환자는 앞으로 더욱 늘어날 것으로 전망된다”며 “이 가운데 세포실험·동물실험 논문 및 임상시험 논문 등 여러 광범위한 한의학 연구 결과를 통해 고관절 골절 수술 이후 골절 부상 환자들에 대한 대안적인 치료법을 제시함으로써, 골절 회복에 대한 한의약적 치료법의 신속·완전한 임상적 가치가 다시 한번 과학적으로 입증됐다”고 강조했다.

 

관련기사

가장 많이 본 뉴스

더보기

최신뉴스

더보기

뉴스

더보기